Sommaire
Introduction
Divergence
Gradient
Rotationnel
Laplacien scalaire
Laplacien vectoriel
Formules entre les opérateurs
Champ qui dérive d’un potentiel
Récapitulatif
Exercices
Dans ce chapitre nous allons voir les formules pour calculer la divergence, le gradient, le rotationnel et le laplacien scalaire et vectoriel, ainsi que les formules les reliant.
Ce sont des opérateurs, comme la dérivée par exemple, très utilisés en Physique-Chimie en post-bac (ce n’est pas au programme du lycée).
Il faut bien faire attention que certains opérateurs prennent en argument un scalaire, d’autres un vecteur.
Quand l’argument est un scalaire, ce sera une fonction f de trois variables : f(x,y,z).
Quand ce sera un vecteur, il sera noté u (en gras pour voir que c’est un vecteur), et aura pour coordonnées ux, uy et uz :
\(\displaystyle \vec{u} = \begin{pmatrix} u_x \\ u_y \\ u_z \end{pmatrix} \)
Tout cela est bien sûr valable pour les coordonnées cartésiennes, en coordonnées cylindriques on aura f(r, θ, z) et :
\(\displaystyle \vec{u} = \begin{pmatrix} u_r \\ u_{\theta} \\ u_{z} \end{pmatrix} \)
Et en coordonnées sphériques, on aura f(r, φ, θ) et :
\(\displaystyle \vec{u} = \begin{pmatrix} u_r \\ u_{\phi} \\ u_{\theta} \end{pmatrix} \)
De la même manière, certains opérateurs seront eux-mêmes des vecteurs (le gradient, le rotationnel et le laplacien vectoriel) ou des scalaires (la divergence et le laplacien scalaire).
On écrira donc le gradient et le rotationnel avec un vecteur par exemple, mais la divergence sans vecteur :
\(\displaystyle \vec{grad}, \, \vec{rot},\, div… \)
Pour chaque opérateur, nous verrons la formule en coordonnées cartésiennes, cylindriques et sphériques. Retiens surtout les formules avec les coordonnées cartésiennes et cylindriques car les sphériques sont peu utilisées et généralement assez compliquées, donc la formule en sphériques est souvent rappelée dans l’énoncé si tu as besoin de l’utiliser (certaines formules en cylindriques sont également assez complexes et parfois données dans l’énoncé).
Dans tout le chapitre, f, ux, uy et uz dépendent de x, y z donc toutes les dérivées seront des dérivées partielles. De même pour les coordonnées cylindriques et sphériques.
Ne t’inquiète pas, nous allons détailler tout cela au fur et à mesure 
Remarque : les vecteurs seront parfois notés entre crochets et non entre parenthèses pour plus de simplicité.
Commençons par le plus simple : la divergence.
La divergence est un scalaire, qui prend en argument un vecteur, on écrira donc :
\(\displaystyle div(\vec{u}) \)
Div(f) n’a ainsi aucune signification (ce sera évident avec la formule).
Le principe de calcul en coordonnées cartésiennes est simple : on dérive ux par rapport à x, uy par rapport à y, et uz par rapport à z, et on additionne le tout !
\(\textstyle div(\vec{u}) = \frac{\partial u_x}{\partial x} + \frac{\partial u_y}{\partial y} + \frac{\partial u_z}{\partial z} \)
divergence en coordonnées cartésiennes
Comme tu le vois c’est très simple !
En cylindriques en revanche c’est déjà un peu plus complexe :
\(\textstyle div(\vec{u}) = \frac{1}{r} \frac{\partial (r u_r)}{\partial r} + \frac{1}{r} \frac{\partial u_{\theta}}{\partial \theta} + \frac{\partial u_z}{\partial z} \)
divergence en coordonnées cylindriques
Et en sphériques c’est pire ! (tu étais prévenu
)
divergence en coordonnées sphériques
La simplicité de la formule en cartésiennes par rapport aux deux autres se retrouvera dans tous les opérateurs.
Avant de voir la suite, nous allons introduire un opérateur qui sera utilisé dans toutes les formules, l’opérateur nabla noté :
\(\textstyle \vec{\nabla} \)
opérateur nabla
Cet opérateur est défini de la manière suivante en coordonnées cartésiennes :
\(\textstyle \vec{\nabla} = \left[ \begin{array}{c} \frac{\partial}{\partial x} \\ \frac{\partial}{\partial y} \\ \frac{\partial}{\partial z} \end{array} \right] \)
Comme tu le vois c’est une sorte de dérivée partielle en 3 dimensions. Attention, cette expression n’est valable qu’en cartésiennes.
Par contre tu as du remarquer que les dérivées partielles n’ont rien à dériver !
Il faut donc mettre un argument au nabla, par exemple f :
\(\displaystyle \vec{\nabla} f = \left[ \begin{array}{c} \frac{\partial f}{\partial x} \\ \frac{\partial f}{\partial y} \\ \frac{\partial f}{\partial z} \end{array} \right] \)
Nous verrons plus loin dans le chapitre que cela correspond en fait au gradient.
—
Attention ! f ne se met pas entre parenthèses car il ne s’agit pas réellement d’un argument. Quand on écrit ∇ f, il s’agit en fait d’un produit entre un vecteur et un scalaire.
—
De plus, nabla étant un vecteur, on peut faire son produit scalaire avec un autre vecteur :
\(\displaystyle \vec{\nabla}.\vec{u} = \frac{\partial u_x}{\partial x} + \frac{\partial u_y}{\partial y} + \frac{\partial u_z}{\partial z} \)
On retrouve la formule de la divergence !!
Ainsi :
\(\textstyle div(\vec{u}) = \vec{\nabla}.\vec{u} \)
Nous verrons que tous les opérateurs (gradient, laplacien etc…) peuvent s’exprimer en fonction de nabla.
Remarque : pour le produit scalaire, si on avait utilisé la formule vue au lycée (xx’ + yy’ + zz’), on aurait dû avoir :
\(\displaystyle \vec{\nabla}.\vec{u} = \frac{\partial}{\partial x} \times u_x + \frac{\partial }{\partial y} \times u_y + \frac{\partial}{\partial z} \times u_z \)
Evidemment cela ne veut rien dire, et on obtient plutôt la formule vue précédemment.
Il en sera de même quand nous ferons le produit vectoriel de nabla avec un autre vecteur.
Le gradient est un vecteur (contrairement à la divergence) qui prend en argument un scalaire f (contrairement à la divergence) : c’est le principe inverse de la divergence !
En cartésiennes :
\(\textstyle \vec{\nabla}(f) = \left[ \begin{array}{c} \frac{\partial f}{\partial x} \\ \frac{\partial f}{\partial y} \\ \frac{\partial f}{\partial z} \end{array} \right] \)
gradient en coordonnées cartésiennes
On voit assez facilement qu’avec l’opérateur nabla, le gradient s’exprime de la manière suivante :
\(\textstyle \vec{grad}(f) = \vec{\nabla} f \)
On avait d’ailleurs fait une sorte de démonstration quand on avait parlé de nabla précédemment.
En cylindriques :
\(\textstyle \vec{grad}(f) = \left[ \begin{array}{c} \frac{\partial f}{\partial r} \\ \frac{1}{r} \frac{\partial f}{\partial \theta} \\ \frac{\partial f}{\partial z} \end{array} \right]
\)
gradient en coordonnées cylindriques
En sphériques :
\(\textstyle \vec{grad}(f) = \left[ \begin{array}{c} \frac{\partial f}{\partial r} \\ \frac{1}{r} \frac{\partial f}{\partial \phi} \\ \frac{1}{r \sin(\phi)} \frac{\partial f}{\partial \theta} \end{array} \right]
\)
gradient en coordonnées sphériques
Pour l’instant la difficulté reste raisonnable, mais on va augmenter d’un cran avec le rotationnel! 
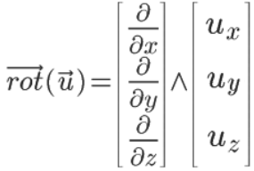
Le rotationnel est un vecteur qui prend en argument un vecteur.
La formule du rotationnel en cartésiennes est un peu complexe mai peut se retrouver facilement.
En effet, le rotationnel de u est le produit vectoriel de nabla et du vecteur u :
\(\textstyle \vec{rot}(\vec{u}) = \vec{\nabla} \wedge \vec{u} \)
rotationnel en coordonnées cartésiennes
Penses bien à retenir ce petit calcul avec le produit vectoriel car c’est le meilleur moyen pour retrouver la formule sans se tromper (et ne pas mélanger les x, les y et les z car tout se ressemble dans cette formule !)
En cylindriques :
rotationnel en coordonnées cylindriques
En sphériques :
rotationnel en coordonnées sphériques
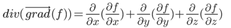
Le laplacien scalaire est (comme son nom l’indique) un scalaire, qui prend en argument un scalaire.
Le laplacien ne se note pas lap(f) comme on pourrait le penser mais Δf ou ∇2f (nous verrons en-dessous pourquoi il s’écrit nabla au carré).
Attention, le laplacien vectoriel se notera de la même manière mais avec une flèche au-dessus (puisqu’il s’agit d’un vecteur).
Le principe est le même que pour la divergence mais on prend les dérivées secondes et non les dérivées premières, d’où la notation ∇ similaire à la divergence :
\(\textstyle \Delta f = \vec{\nabla}^2f = \frac{\partial^2 f}{\partial x^2} + \frac{\partial^2 f}{\partial y^2} + \frac{\partial^2 f}{\partial z^2} \)
laplacien scalaire en coordonnées cartésiennes
Comme tu le vois, la formule est la même que pour la divergence mais avec les dérivées secondes.
On pourrait alors montrer très facilement que :
\(\textstyle \Delta f = div(\vec{grad}(f)) \)
La démonstration sera faite un peu plus loin dans le chapitre
)
Cette formule reste vraie en coordonnées cylindriques et sphériques, et on trouve alors facilement que :
\(\textstyle \Delta f = \frac{1}{r}\frac{\partial}{\partial r}( r\frac{\partial f}{\partial r}) + \frac{1}{r^2}\frac{\partial^2 f}{\partial \theta^2} + \frac{\partial^2 f}{\partial z^2} \)
laplacien scalaire en coordonnées cylindriques
laplacien scalaire en coordonnées sphériques
Voyons maintenant le lien avec nabla. On a :
\(\textstyle \Delta f = \vec{\nabla}^2 f = \vec{\nabla}.(\vec{\nabla}f) \)
Faisons la démonstration :
\(\displaystyle \vec{\nabla} f = \left[ \begin{array}{c} \frac{\partial f}{\partial x} \\ \frac{\partial f}{\partial y} \\ \frac{\partial f}{\partial z} \end{array} \right]
\)
Donc :
D’où :
\(\displaystyle \vec{\nabla}^2 f = \frac{\partial^2 f}{\partial x^2} + \frac{\partial^2 f}{\partial y^2} + \frac{\partial^2 f}{\partial z^2} \)
On retrouve la formule en cartésiennes vue ci-dessus.
D’où la formule :
\(\textstyle \Delta f = \vec{\nabla}^2 f \)
Le laplacien vectoriel est un vecteur (comme son nom l’indique) qui prend en argument un vecteur : tout l’inverse du laplacien scalaire !
Il se note se la même façon que le laplacien scalaire mais avec un vecteur :
\(\textstyle \vec{\Delta}\vec{u} = \vec{\nabla}^2\vec{u} \)
Nous démontrerons cette formule un peu plus bas.
C’est un peu un mélange entre le gradient et le laplacien scalaire, car il s’agira de la dérivée seconde mais sous forme de vecteur :
laplacien vectoriel en coordonnées cartésiennes
Comme tu le vois, on dérive deux fois chaque coordonnée par rapport à chaque variable et on additionne le tout.
On peut également l’écrire avec le laplacien scalaire :
\(\textstyle \vec{\Delta}\vec{u} = \left( \begin{array}{c} \Delta u_x \\ \Delta u_y \\ \Delta u_z \end{array} \right)
\)
Nous ne donnerons pas la formule en cylindriques et en sphériques car c’est une horreur monstrueuse que tu n’auras normalement jamais à utiliser (ou alors on te donnera forcément la formule !).
Démontrons que :
\(\displaystyle \vec{\Delta}\vec{u} = \vec{\nabla}^2\vec{u} \)
On a :
\(\displaystyle \vec{\nabla}^2\vec{u} = (\vec{\nabla}.\vec{\nabla})\vec{u} \)
\(\displaystyle \vec{\nabla}^2\vec{u} = \left( \frac{\partial^2}{\partial x^2} + \frac{\partial^2}{\partial y^2} + \frac{\partial^2}{\partial z^2} \right) \left[ \begin{array}{c} u_x \\ u_y \\ u_z \end{array} \right]
\)
On retrouve l’expression ci-dessus.
D’où la formule :
\(\displaystyle \vec{\Delta}\vec{u} = \vec{\nabla}^2\vec{u} \)
Il existe des formules entre les opérateurs qu’il faut impérativement connaître car elles seront souvent utilisées en exercice.
Ces formules peuvent se démontrer facilement, certaines seront démontrées ci-dessous, d’autres le seront dans les vidéos, et d’autres non… tu pourras t’entraîner à les démontrer, ce n’est que du calcul similaire aux autres démonstrations ! 
Les démonstrations seront faites à chaque fois en cartésiennes car c’est plus simple mais on pourrait les faire en cylindriques ou en sphériques (mais les calculs sont plus compliqués car les expressions sont moins simples comme on l’a vu !).
Première formule :
\(\textstyle div(\vec{grad}(f)) = \Delta f \)
Parfois l’argument f est oublié pour simplifier la formule :
\(\textstyle div(\vec{grad}) = \Delta \)
L’argument est alors sous-entendu, car le gradient et le laplacien scalaire prennent en argument un scalaire, donc l’argument est un scalaire et non un vecteur.
Faisons la démonstration pour cette formule car elle est très simple :
\(\displaystyle \vec{grad} f = \left[ \begin{array}{c} \frac{\partial f}{\partial x} \\ \frac{\partial f}{\partial y} \\ \frac{\partial f}{\partial z} \end{array} \right]
\)
Donc avec la formule de la divergence :
\(\displaystyle div(\vec{grad}(f)) = \frac{\partial ^2 f}{\partial x^2} + \frac{\partial ^2 f}{\partial y^2} + \frac{\partial ^2 f}{\partial z^2} \)
\(\displaystyle div(\vec{grad}(f)) = \Delta f \)
Comme tu le vois la démonstration est assez basique, il suffit d’appliquer les formules trouvées précédemment.
Autre formule :
\(\textstyle div(\vec{rot}(\vec{u})) = 0 \)
Sans l’argument :
\(\textstyle div(\vec{rot}) = 0 \)
La démonstration sera faite en vidéo, elle utilise le théorème de Schwarz.
Dans le même ordre d’idée :
\(\textstyle \vec{rot}(\vec{grad}(f)) = \vec{0} \)
Sans l’argument :
\(\textstyle \vec{rot}(\vec{grad}) = \vec{0} \)
Nous verrons ci-dessous que ces deux formules entraînent des propriétés qui auront des applications pratiques en physique.
Et enfin la plus complexe :
\(\textstyle \vec{rot}(\vec{rot}(\vec{u})) = \vec{grad}(div(\vec{u})) – \vec{\Delta}(\vec{u}) \)
Sans l’argument :
\(\textstyle \vec{rot}(\vec{rot}) = \vec{grad}(div) – \vec{\Delta} \)
La démonstration est simple là aussi mais assez longue… donc tu pourras la chercher toi-même 
En physique, on parle souvent de champ qui dérive d’un potentiel.
Par exemple en mécanique, une force est conservative si elle dérive d’un potentiel, correspondant à une énergie potentielle.
De même, un champ électrique dérive d’un potentiel électrique :
\(\displaystyle \vec{F}_{conservative} = -\vec{grad}(E_p) \)
\(\displaystyle \vec{E} = -\vec{grad}(V) \)
Tu auras remarqué que l’argument du gradient est appelé énergie potentielle et potentiel électrique, or on a vu que le gradient correspond à une dérivée, d’où l’expression « dériver d’un potentiel ».
Remarque : le signe – a une signification physique, mais on peut le rentrer dans l’opérateur gradient sans problème par linéarité, nous n’en tiendrons donc pas compte par la suite en ce qui concerne les mathématiques.
Or on a vu que :
\(\displaystyle \vec{rot}(\vec{grad}) = \vec{0} \)
Ainsi, si on calcule le rotationnel d’un champ qui dérive d’un potentiel, cela signifie que son rotationnel est nul.
On peut montrer que la réciproque est vraie, à savoir que si le rotationnel d’un champ est nul, alors il dérive d’un potentiel et peut s’écrire comme le gradient d’un potentiel :
\(\textstyle \vec{rot}(\vec{u}) = \vec{0} \Leftrightarrow \exists f : \vec{u} = \vec{grad}(f) \)
Le f correspond au potentiel en question.
Certains exercices consistent justement à trouver ce potentiel f en connaissant le vecteur u (qui correspond à un champ, par exemple un champ électrique).
Nous verrons en exercice comment résoudre ce genre de problème, c’est un exercice classique avec une certaine méthode, il sera plus simple de la voir en vidéo 
A noter qu’en physique, quand on dit que champ dérive d’un potentiel, ce potentiel est toujours un scalaire.
Mais il existe des champs qui dérivent de potentiels vecteurs, et le champ est alors égal au rotationnel du potentiel vecteur.
La relation entre un champ u et un potentiel vecteur A est donc :
\(\textstyle \vec{u} = \vec{rot}(\vec{A}) \)
La divergence d’un rotationnel étant nulle d’après une formule vue précédemment, on a donc :
\(\displaystyle div(\vec{u}) = 0 \)
De la même manière que précédemment, si cette condition est vérifiée, alors le vecteur u dérive d’un potentiel vecteur, on a donc l’équivalence :
\(\textstyle div(\vec{u}) = 0 \Leftrightarrow \exists \vec{A} : \vec{u} = \vec{rot}(\vec{A}) \)
—
Attention à ne pas confondre champ qui dérive d’un potentiel scalaire et champ qui dérive d’un potentiel vecteur !
Si ce n’est pas précisé, c’est sous-entendu champ qui dérive d’un potentiel scalaire (l’autre cas est beaucoup plus rare).
—
Avant de passer aux exercices, nous avons fait un petit récapitulatif par type de coordonnées afin que tu aies une vision plus globale des similitudes et différences entre les différentes formules.
Comme dit précédemment, retiens surtout les coordonnées cartésiennes, car les formules te seront rarement données (contrairement aux sphériques, et parfois aux cylindriques).
Avec nabla:
\(\textstyle div(\vec{u}) = \vec{\nabla}.\vec{u} \)
\(\textstyle \vec{rot}(\vec{u}) = \vec{\nabla} \wedge \vec{u} \)
\(\textstyle \vec{grad}(f) = \vec{\nabla} f \)
\(\textstyle \Delta f = \vec{\nabla}^2 f \)
\(\textstyle \vec{\Delta}\vec{u} = \vec{\nabla}^2\vec{u} \)
Coordonnées cartésiennes :
\(\textstyle div(\vec{u}) = \frac{\partial u_x}{\partial x} + \frac{\partial u_y}{\partial y} + \frac{\partial u_z}{\partial z} \)
divergence en coordonnées cartésiennes
\(\textstyle \vec{grad} f = \left[ \begin{array}{c} \frac{\partial f}{\partial x} \\ \frac{\partial f}{\partial y} \\ \frac{\partial f}{\partial z} \end{array} \right]
\)
gradient en coordonnées cartésiennes
rotationnel en coordonnées cartésiennes
\(\textstyle \Delta f = \vec{\nabla}^2 f = \frac{\partial^2 f}{\partial x^2} + \frac{\partial^2 f}{\partial y^2} + \frac{\partial^2 f}{\partial z^2}
\)
laplacien scalaire en coordonnées cartésiennes
laplacien vectoriel en coordonnées cartésiennes
Coordonnées cylindriques:
\(\textstyle div(\vec{u}) = \frac{1}{r} \frac{\partial (r u_r)}{\partial r} + \frac{1}{r} \frac{\partial u_{\theta}}{\partial \theta} + \frac{\partial u_z}{\partial z} \)
divergence en coordonnées cylindriques
\(\textstyle \vec{grad} f = \left[ \begin{array}{c} \frac{\partial f}{\partial r} \\ \frac{1}{r} \frac{\partial f}{\partial \theta} \\ \frac{\partial f}{\partial z} \end{array} \right]
\)
gradient en coordonnées cylindriques
rotationnel en coordonnées cylindriques
\(\textstyle \Delta f = \frac{1}{r}\frac{\partial}{\partial r}( r\frac{\partial f}{\partial r}) + \frac{1}{r^2}\frac{\partial^2 f}{\partial \theta^2} + \frac{\partial^2 f}{\partial z^2} \)
laplacien scalaire en coordonnées cylindriques
Coordonnées sphériques:
divergence en coordonnées sphériques
\(\textstyle \vec{grad} f = \left[ \begin{array}{c} \frac{\partial f}{\partial r} \\ \frac{1}{r} \frac{\partial f}{\partial \phi} \\ \frac{1}{r \sin(\phi)} \frac{\partial f}{\partial \theta} \end{array} \right]
\)
gradient en coordonnées sphériques
rotationnel en coordonnées sphériques
laplacien scalaire en coordonnées sphériques
Relations entre les vecteurs :
\(\textstyle div(\vec{grad}(f)) = \Delta f \)
\(\textstyle div(\vec{rot}(\vec{u})) = 0 \)
\(\textstyle \vec{rot}(\vec{grad}(f)) = \vec{0} \)
\(\textstyle \vec{rot}(\vec{rot}(\vec{u})) = \vec{grad}(div(\vec{u})) – \vec{\Delta}(\vec{u}) \)
Sans argument :
\(\textstyle div(\vec{grad}) = \Delta \)
\(\textstyle div(\vec{rot}) = 0 \)
\(\textstyle \vec{rot}(\vec{grad}) = \vec{0} \)
\(\textstyle \vec{rot}(\vec{rot}) = \vec{grad}(div) – \vec{\Delta} \)
Ce chapitre est maintenant terminé, il ne te reste plus qu’à apprendre les formules et faire des exercices d’application pour vérifier que tu as bien compris comment appliquer toutes ces formules ! 
Pour accéder aux exercices sur ce chapitre, clique ici !
Retour au sommaireHaut de la page